機械密封的毛細管節流和小孔節流
作者:赤士盾 時間:2017-06-12 點擊量:
機械密封的毛細管節流和小孔節流:

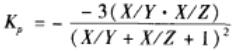
(1)對于毛細管節流

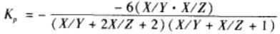
(2)對于小孔節流
![]()
本文源自http://www.zgwj35.com/news/442.html,轉載請注明出處。
(責任編輯:機械密封http://www.zgwj35.com)
上一篇:機械密封液體膜的軸向剛度 下一篇:機械密封三種流體靜壓密封的流體膜模型比較
- 上一篇:機械密封液體膜的軸向剛度
- 下一篇:機械密封三種流體靜壓密封的流體膜模型比較
機械密封熱門文章
機械密封熱門文章
機械密封文章推薦
機械密封文章推薦
最新資訊
- 2023-07-04· 機械密封的保養與維修方法:
- 2023-06-30· 機械密封的保養與維修方法
- 2023-06-29· 機械密封的運行原理及其特點
- 2023-06-29· 機械密封的密封材料與密封性
- 2023-06-28· 機械密封的安裝及維護方法
- 2023-06-26· 機械密封的密封原理及其應用
聯系我們
浙江生產基地:浙江嘉善環城東路硅谷開發區(赤盾科技園)
嘉興銷售及技術支持中心:嘉興市環北西路經濟開發區
國內24小時銷售人員電話:15990310020
國內24小時技術支持:13917573091
電子郵件:1050760236@qq.com
jxchishidun@163.com
即時聊天工具:QQ: 1050760236
微信:15990310020
網址:www.zgwj35.com



