機械密封的干摩擦
機械密封的干摩擦:
通常流體密封如類似104定制機械密封由于作用力變大,間隙減小,會使摩擦副因溫度升高或其他原因而開始發生干摩擦。此外,大多數流體密封在機器開、停車時短暫地發生半干摩擦或干摩擦。由于干摩擦會造成密封環熱裂或燒損而發生故障,為此,必須研究干摩擦狀態,盡管有一個密封環是采用自潤滑材料做成的,也要知道其極限PV值。
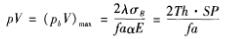
由蘇聯格魯別也夫推導出著名的公式,用以確定不發生熱裂的最大PV值。
![]()
式中,


本文源自http://www.zgwj35.com/news/457.html,轉載請注明出處。
(責任編輯:機械密封http://www.zgwj35.com)
上一篇:機械密封的熱流體動壓效應 下一篇:機械密封的墊片密封概述
- 上一篇:機械密封的熱流體動壓效應
- 下一篇:機械密封的墊片密封概述
機械密封熱門文章
機械密封文章推薦
最新資訊
- 2023-07-04· 機械密封的保養與維修方法:
- 2023-06-30· 機械密封的保養與維修方法
- 2023-06-29· 機械密封的運行原理及其特點
- 2023-06-29· 機械密封的密封材料與密封性
- 2023-06-28· 機械密封的安裝及維護方法
- 2023-06-26· 機械密封的密封原理及其應用
聯系我們
浙江生產基地:浙江嘉善環城東路硅谷開發區(赤盾科技園)
嘉興銷售及技術支持中心:嘉興市環北西路經濟開發區
國內24小時銷售人員電話:15990310020
國內24小時技術支持:13917573091
電子郵件:1050760236@qq.com
jxchishidun@163.com
即時聊天工具:QQ: 1050760236
微信:15990310020
網址:www.zgwj35.com



